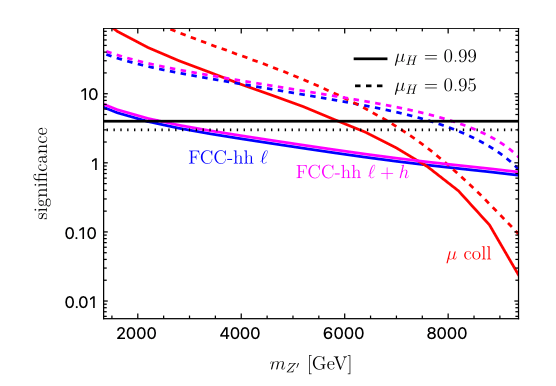
The Higgs boson, discovered in 2012, is crucial for maintaining mathematical consistency in particle interactions at high energies. But if the Higgs does not interact exactly as the Standard Model predicts, new particles must appear to “fix” this consistency, a principle called unitarity restoration. The paper “Weak boson probes of Higgs unitarity restoration at 10 TeV parton colliders” explores how future particle colliders could uncover such new physics. We compare two next-generation machines: a huge proton–proton collider (FCC-hh) achieving a collision energy of 100 teraelectron volts (TeV) and a proposed muon collider at 10 TeV. Although these numbers differ by a factor of 10, due to the nature of the colliding particles, they offer similar insights: both could reveal new heavy particles linked to the Higgs if small deviations in their behaviour are observed at the LHC. We find that both colliders would have similar discovery reach, up to around 6 TeV; however, the muon collider may probe some scenarios more cleanly due to its lower background noise. Together with precision measurements from proposed electron–positron colliders, these machines could provide complementary windows into new fundamental physics. (Read more)

You must be logged in to post a comment.